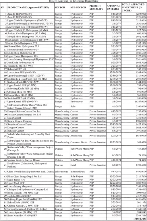
काठमाडौं । लगानी बोर्डबाट हालसम्ममा १७ खर्ब १६ अर्ब रुपैयाँका ५५ वटा आयोजना स्वीकृत भएका छन् ।
लगानी बोर्डका प्रमुख कार्यकारी अधिर्कत (सीईओ) सुशील ज्ञवालीका अनुसार हालसम्म स्वीकृत भएका आयोजनामध्ये अधिकांशा निर्माणकै चरणमा रहेका छन् । केही ठूला आयोजनामा बोर्डले लगानी खोजिरहेको पनि उनले जानकारी दिए ।
लगानी बोर्डले स्वीकृत गरेका यस्ता आयोजनामा सबैभन्दा बढी ऊर्जाका छन् । ऊर्जामा ४० वटा आयोजना स्वीकृत भएका छन्। यी आयोजनाको लगात १३ खर्ब ३७ अर्ब रुपैयाँ रहेको छ ।
नेपालमा सबैभन्दा बढी संभावना देखिएको र लगानीकर्ताकले उत्साहका साथ लगानी अगाडि बढाएका ऊर्जाका यी परियोजना भने एक दश अगाडिदेखि नै सुरु भएकादेखि नयाँसम्म छन् ।
आयोजनाका हिसावले उत्पादनमूलक आयोजनामा पनि लगानीकर्ताको उत्साह देखिएको छ । लगानीकर्ताले रुची देखाएका यसका आयोजनामा ९ वटा छन । यी आयोजनामा २ अर्ब ३६ अर्ब रुपैयाँ लगानी स्वीकृत भएको छ ।
बोर्डबाट स्वीकृत भएका आयोजानामा युटिलिटीका ३ वटा छन् । यसमा ५ अर्ब लगानी हुने प्रस्ताव लगानीकर्ताले गरेका छन् ।
दुईवटा पर्यटकका आयोजना पनि लगानीबोर्डबाट स्वीकृत भएर अगाडि बढिरहेको छ । यी दुइ आयोजनाको लागत भने ७१ अर्ब रुपैयाँ रहेको छ ।
पर्यटनका यी दुई आयोजनामा करिब १४ अर्ब रुपैयाँका तीन होटलका एउटै परियोजना छ । २०७५ जेठमा लगानी स्वीकृत भएर निर्माण चरणमा गएका यी आयोजना दहचोक, भक्तपुर र पोखरामा रहेका छन । पर्यटनको अर्को परियोजनामा ८१ किलोमिटरको नयाँपुल मुक्तिनाथ केवलकार रहेको छ ।
बोर्डबाट स्वीकृत भएर अगाडि बढेको पूर्वाधारको एउटै मात्र परियोजनामा करिब ६५ अर्ब रुपैयाँको दमकमा चीन नेपाल फ्रेन्डसीप इन्ड्रस्टियल पार्क रहेको छ । यो परियोजना लगानी बोर्डबाट २०७६ मा नै स्वीकृति भएर अगाडि बढेको छ ।
उत्पादनमूलक क्षेत्रमध्ये १५ अर्ब लगानीको सम्राट सिमेन्ट, ३७ अर्ब रुपैयाँको होङ्सी र २१ अर्ब रुपैयाँको हुवासिनले उत्पादन सुरु गरिसकेको छ भने अरुले बोर्डबाट स्वीकृति लिएर निर्माणकै चरणमा काम गरिरहेका छन् ।


Comment